Приложение 1-2
Скачать:
2.10. Примеры получения частот и форм колебаний для стержней с сосредоточенными массами
П р и м е р 2.3. Определить частоты и формы колебаний свободно опертой балки с двумя одинаковыми сосредоточенными массами, находя- щимися в третях пролета (рис. 2.5). Жесткость балки постоянна.
Р е ш е н и е. Найдем перемещения, входящие в (2.36).

Интегрирование проведено методом Симпсона8.
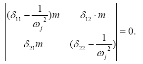
Система уравнений

однородна, и имеет ненулевое решение, когда определитель системы равен нулю

Раскроем определитель, предварительно вынесем общий множитель его элементов

и так как он не равен нулю, то


тогда определитель будет равен
(48- γ j)· (48- γ j) – 212 = γ j 2 - 96 γ j +1863 = 0, (2.43)
а его корни определятся по известным формулам решения квадратного трехчлена:

Определим частоты, исходя из того, что

Первая (низшая) частота

Вторая частота

Каждой частоте соответствует своя форма. Чтобы упростить вычисления, умножим каждое из уравнений на

В результате получим для каждой частоты систему двух уравнений с двумя неизвестными

При γ 1= 69

так как определитель системы равен нулю, то она имеет бесконечное мно- жество решений, поэтому зададимся значением одной из координат, на- пример, w11=1.0. Тогда вторая координата определится из любого уравне- ния системы w12=1.0.
Подобным образом получим вторую форму при γ 2= 27:

Теперь зададимся значением одной из координат, например, w21 = =1.0. Тогда вторая координата определится из любого уравнения системы w22 = - 1.0.
Графически формы колебаний представлены на рис. 2.5.
П р и м е р 2.4 (для самостоятельного решения). Определить частоты и формы колебаний консольного стержня с двумя массами, одна из них (посредине стержня) в два раза больше другой (на конце его). Жесткость стержня постоянная.
2.11. Приведение рамных сооружений к точечным консольного типа
Для приближенной замены рамного сооружения консолью необхо- димо решить две проблемы.
- определить методику нахождения величины массы пространст- венной или плоской рамы и места ее расположения по высоте (вдоль кон- соли),
- найти жесткость консольного стержня исходя из конструктивной схемы сооружения.
Эти проблемы часто решаются интуитивно, с учетом опыта работы с динамическими схемами, но могут быть даны и некоторые рекомендации их решения путем логических рассуждений
Если, например, имеется многоэтажное здание с довольно массивными перекрытиями и оборудованием на нем, то можно достаточно обоснованно утверждать, что вся масса здания сосредоточена в уровне перекрытий и покрытия. Наибольший вклад в величину массы внесут масса самого перекрытия и оборудования, которое находится на нем. Масса ограждений мала по сравнению с массой перекрытия и она может быть отнесена к ближайшему из них по принципу равной ответственности, подобно тому, как распределяется нагрузка между несущими элементами при ее сборе9.
Более сложной является вторая проблема. Здесь нужно иметь ввиду то, что динамические характеристики зависят от перемещений (для точечных сооружений от горизонтальных перемещений). Чтобы динамические характеристики (частоты и формы), полученные из расчета консольного стержня были близки к характеристикам рамного сооружения, необходимо чтобы горизонтальные перемещения консоли и сооружения в уровне перекрытий были одинаковы. Из этого условия можно получить жесткости частей консольного стержня.
Имеются предложения - жесткость консоли назначать равной сумме жесткостей стоек. Однако такое решение не всегда правомерно. Специально проведенные исследования показали, что величина жесткости консоли зависит не только от жесткостей стоек, но и ригелей и способов соединений (узлов) элементов в сооружении.
Покажем применение приведенных выше рекомендаций на примерах.
П р и м е р 2.5. Построить упрощенную расчетную схему для получения динамических характеристик многоэтажного здания (рис. 1.6). Шаг рам 6 м. Жесткость одной колонны на первом и втором этажах - 1200 кНм2; на остальных этажах - 800 кНм2. Ригели к стойкам крепятся шарнирно.
Р е ш е н и е . Расчетная схема здания - консольный стержень с массами, сосредоточенными в уровне перекрытий. Для получения динамических характеристик необходимо знать жесткость заменяющего раму стержня и величины сосредоточенных масс.
Рис. 2.6. Пятиэтажное трехпролетное здание: а - схема поперечной рамы; б - упрощенная расчетная схема
Жесткость на изгиб консольного стержня должна приниматься из условия, чтобы горизонтальные перемещения стержня и рамы в уровне пере- крытий были одинаковы. Часто для этого достаточно просто сложить жесткости стоек в пределах этажа. Следовательно, жесткость стержня на первых двух этажах равна
EI = 4·1200 = 4800 кНм2,
на верхних этажах
EI = 4·800 = 3200 кНм2.
Сосредоточенные в уровне перекрытий массы подсчитаем по задан- ным удельным массам перекрытий и стеновых ограждений (см. рис. 2.6) и грузовым площадям при шаге рам - 6 м, трех пролетах рамы длиной - 3.6 м, высоте этажа - 3 м:
m1 = 200·3·6·2 + 400·3.6·6· 3 = 33120 кг,
m2 = 200·1.5·6·2 + 400·3.6·6·3 = 29520 кг.
П р и м е р 2.6. Определить жесткость консоли в упрощенной расчетной схеме в одноэтажной раме при шарнирном и жестком креплении ригеля к стойкам из условия равенства горизонтальных перемещений ри- геля (рис. 2.7).
Р е ш е н и е. Перемещение по горизонтали в уровне ригеля при шарнирном его креплении к стойкам от сосредоточенной силы ригеля - Р (на каждую стойку передается сила пропорциональная ее жесткости):

то есть, жесткость консоли должна быть равна сумме жесткостей стоек:
EIk = EIc1 + EIc2 .
При жестком креплении бесконечно жесткого ригеля верхние концы стоек не поворачиваются и перемещения уменьшаются в четыре раза:

то есть жесткость консоли должна быть равна учетверенной сумме жесткостей стоек:
EIk = 4(EIc1 + EIc2).

Рис. 2.7. Схемы рам с шарнирным (а) и жестким (б) креплением ригеля к стойкам: 1 – рама; 2 - заменяющая консоль
Существуют, однако, попытки совместного решения проблем внешних сил и внутренних усилий - динамический подход. Но эта сложная в математическом отношении и реализации задача решается очень редко. Примером могут служить решения, полученные одним из авторов учебника для арочных плотин и гидробиотехнических сооружений 10,11.;
11 Гидробиотехнические сооружения - специальные гидротехнические сооружения, предназначенные для оснащения морских плантаций по культивированию ценных видов водных организмов.
К списку публикаций в разделе


